Scene
In your game you probably want a main menu, a few levels and an ending scene.
How do you organize all of these into the separate pieces they are? You guessed
it, Scene. When you think about your favorite movie you can see that it's
distinctly broken down into scenes, or separate parts of the story line. If we
apply this same thought process to games, we should come up with at least a few
scenes no matter how simple the game is.
Taking another look at the familiar image from earlier:

This is a main menu and it is a single Scene. This scene is made up of
several pieces that all fit together to give us the end result. Scenes are drawn
by the renderer. The renderer is responsible for rendering sprites and
other objects into the screen. To better understand this we need to talk a bit
about the scene graph.
Scene Graph
A scene graph is a data structure that arranges a graphical scene. A
scene graph contains Node objects in a tree (yes, it is called
scene graph, but it is actually represented by a tree) structure.

It sounds and looks complicated. I'm sure you are asking why should you care about this technical detail if Cocos2d-x does the heavy lifting for you? It really is important to understand how Scenes are drawn by the renderer.
Once you start adding nodes, sprites and animations to your game, you want to make sure you are drawing the things you expect. But what if you are not? What if your sprites are hidden in the background and you want them to be the foremost objects? No big deal, just take a step back and run through the scene graph on a piece of paper, and I bet you find your mistake easily.
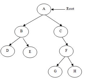
Since the Scene Graph is a tree; you can walk the tree. Cocos2d-x uses the in-order walk algorithm. An in-order walk is the left side of the tree being walked, then the root node, then the right side of the tree. Since the right side of the tree is rendered last, it is displayed first on the scene graph.

The scene graph is easily demonstrated, let's take a look at our game scene broken down:

Would be rendered as a tree, simplified to the following:

Another point to think about is elements with a negative z-order are on the left side of the tree, while elements with a positive z-order are on the right side. Keep this in consideration when ordering your elements! Of course, you can add elements in any order, and they're automatically sorted based upon a customizable z-order.
Building on this concept, we can think of a Scene as a collection of
Node objects. Let's break the scene above down to see the scene graph uses
the z-order to layout the Scene:

The Scene on the left is actually made up of multiple Node objects
that are given a different z-order to make them stack on top of each other.
In Cocos2d-x, you build the scene graph using the addChild() API call:
// Adds a child with the z-order of -2, that means
// it goes to the "left" side of the tree (because it is negative)
scene->addChild(title_node, -2);
// When you don't specify the z-order, it will use 0
scene->addChild(label_node);
// Adds a child with the z-order of 1, that means
// it goes to the "right" side of the tree (because it is positive)
scene->addChild(sprite_node, 1);